两部委提前下达现代职业教育质量提升计划资金助推1+x落地
2020-12-02 09:44:11
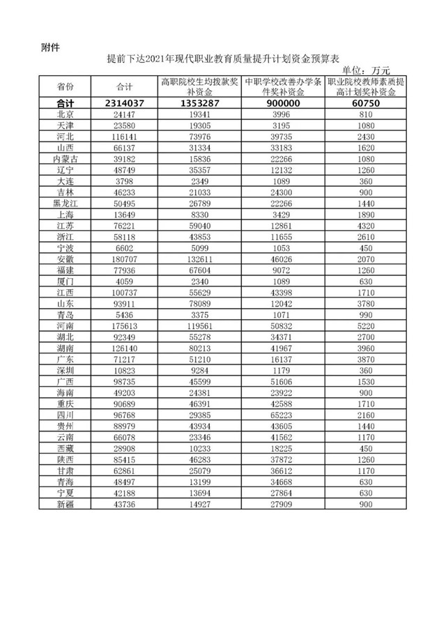
近日,财政部、教育部发布《关于提前下达2021年现代职业教育质量提升计划资金预算的通知》(以下简称《通知》)。总计预算高达2314037万元,其中,高职院校生均拨款奖补资金1353287万元,中职学校改善办学条件奖补资金900000万元,职业院校教师素质提高计划奖补资金60750万元。

此次财政部、教育部采取中央财政资金大量投放的举措,有效助推现代职业教育质量提升计划,给予职业院校教师及学生奖金补助,充分激发职业院校教师教学、学生学习的信心和积极性,能够为现代职业教育质量的提升保驾护航,并为深化三教改革、产教融合提供强大保障。

《通知》要求,深化产教融合、校企合作,支持开展1+X证书制度试点、支持实施中国特色高水平高职学校和专业建设计划等。在分配相关资金时,要结合实际向困难地区和薄弱环节倾斜,向办学质量高、办学特色鲜明的职业院校倾斜。做好与发展改革部门安排基本建设项目等资金的统筹,防止资金、项目安排重复交叉。
此《通知》的出台,不仅有助于促进职业教育的蓬勃发展,更是有助于1+X证书制度的落地实施。职业院校能够通过加强标准体系建设,着力打造双师型教师队伍建设,推进职业教育产教融合校企协同育人。通过与行业产业、职业能力标准、工作岗位的对接,实现学校和企业的专业共建、标准共融、教学共育、基地共享、师资共培。

而金职伟业作为国家教育部“1+X幼儿照护”职业培训评价组织,自2020年7月正式启动幼儿照护1+X证书制度试点以来,金职伟业已完成全国近5000人次的师资、考评技术员、督考员培训,以及超过500家考评站点的遴选工作。已吸引来自全国各地700余所职业院校、应用型本科高校老师赴长参训,培训人数高达4000余人。金职伟业始终致力于职业技能教材的开发建设,至今已编写三套教育部1+x证书《幼儿照护职业技能教材》(基础知识、初级、中级),入选国家十三五职业教育规划教材,配套在线视频课程上线一个月访问量即达百万,且成功研发1+x幼儿照护证书情景交互教学软件。自2020年11月,金职伟业启动各省成立1+x幼儿照护证书联盟,创新幼儿照护人才培育新方案,评价组织、院校、企业、行业四方联动,以确保培育出高质量的1+x幼儿照护技能人才。
在未来,金职伟业将把握此次机遇,迎接挑战,通过X证书,汇聚1000所试点学校、10,000家校企合作企业、100家行业协会、1,000,000名学生进入平台,并且在每省遴选龙头企业成立考试服务中心、做好考评服务和学生的就业创业服务工作,打造考试、培训、就业、创业的广阔舞台。并不断为实现学生好学、老师好教、企业好用的幼儿照护证等级证书的目标而努力,着力于建设有信心、有责任心、有匠心、有忠心、有耐心的‘五心’育婴文化,不断提升幼儿照护领域专业人才的培养质量,为社会源源不断地输送高素质的技能型人才,切实提高托育托幼行业服务质量水平,共创幼儿照护事业的美好未来。

此次财政部、教育部采取中央财政资金大量投放的举措,有效助推现代职业教育质量提升计划,给予职业院校教师及学生奖金补助,充分激发职业院校教师教学、学生学习的信心和积极性,能够为现代职业教育质量的提升保驾护航,并为深化三教改革、产教融合提供强大保障。

《通知》要求,深化产教融合、校企合作,支持开展1+X证书制度试点、支持实施中国特色高水平高职学校和专业建设计划等。在分配相关资金时,要结合实际向困难地区和薄弱环节倾斜,向办学质量高、办学特色鲜明的职业院校倾斜。做好与发展改革部门安排基本建设项目等资金的统筹,防止资金、项目安排重复交叉。
此《通知》的出台,不仅有助于促进职业教育的蓬勃发展,更是有助于1+X证书制度的落地实施。职业院校能够通过加强标准体系建设,着力打造双师型教师队伍建设,推进职业教育产教融合校企协同育人。通过与行业产业、职业能力标准、工作岗位的对接,实现学校和企业的专业共建、标准共融、教学共育、基地共享、师资共培。

而金职伟业作为国家教育部“1+X幼儿照护”职业培训评价组织,自2020年7月正式启动幼儿照护1+X证书制度试点以来,金职伟业已完成全国近5000人次的师资、考评技术员、督考员培训,以及超过500家考评站点的遴选工作。已吸引来自全国各地700余所职业院校、应用型本科高校老师赴长参训,培训人数高达4000余人。金职伟业始终致力于职业技能教材的开发建设,至今已编写三套教育部1+x证书《幼儿照护职业技能教材》(基础知识、初级、中级),入选国家十三五职业教育规划教材,配套在线视频课程上线一个月访问量即达百万,且成功研发1+x幼儿照护证书情景交互教学软件。自2020年11月,金职伟业启动各省成立1+x幼儿照护证书联盟,创新幼儿照护人才培育新方案,评价组织、院校、企业、行业四方联动,以确保培育出高质量的1+x幼儿照护技能人才。
在未来,金职伟业将把握此次机遇,迎接挑战,通过X证书,汇聚1000所试点学校、10,000家校企合作企业、100家行业协会、1,000,000名学生进入平台,并且在每省遴选龙头企业成立考试服务中心、做好考评服务和学生的就业创业服务工作,打造考试、培训、就业、创业的广阔舞台。并不断为实现学生好学、老师好教、企业好用的幼儿照护证等级证书的目标而努力,着力于建设有信心、有责任心、有匠心、有忠心、有耐心的‘五心’育婴文化,不断提升幼儿照护领域专业人才的培养质量,为社会源源不断地输送高素质的技能型人才,切实提高托育托幼行业服务质量水平,共创幼儿照护事业的美好未来。